英国365集团 英国365集团

学院新闻

英国365集团当前位置: 首页 -> 学院新闻 -> 正文

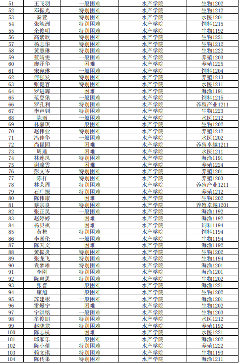
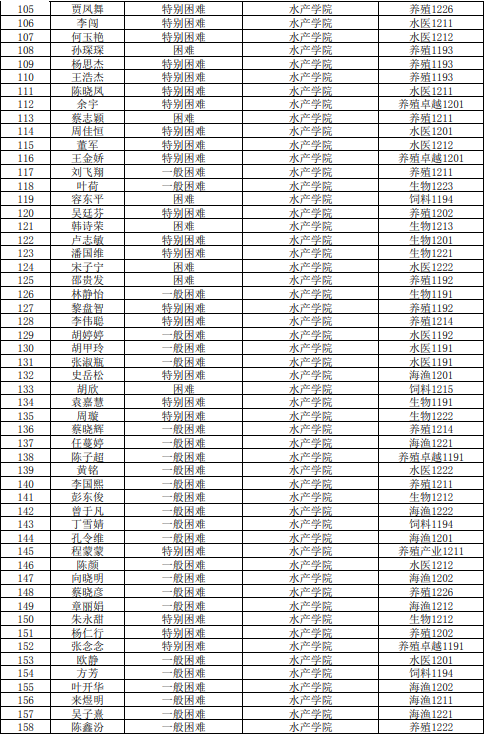
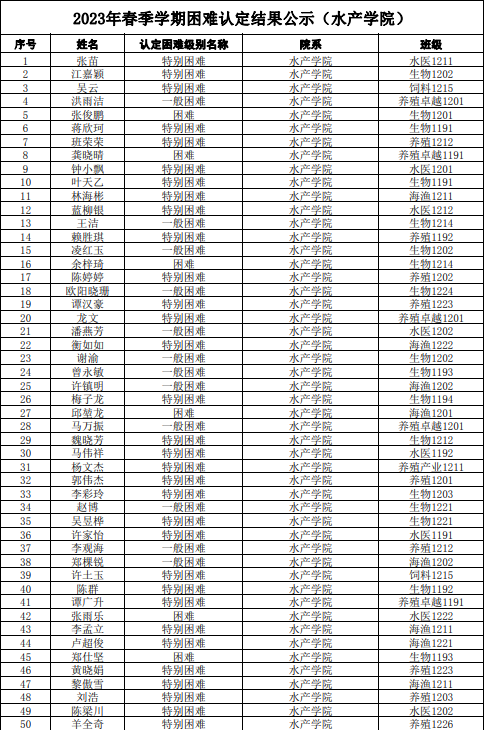
关于英国365集团2023年春季学期困难生认定结果的公示

作者:许嘉琪 发布日期:2023-06-05 审核:王海燕 来源:英国365集团学工办 浏览量:

经过本人申请、评议小组评议、院系审核、学校组织交叉材料审核等过程,英国365集团拟认定张苗等248名学生为家庭经济困难学生。现进行公示,公示期为65-69日。如有异议,请及时以电话形式向英国365集团学生工作办公室反馈。联系电话:0759-2383163


附件:英国365集团 2023年春季学期困难认定结果公示


英国365集团 

202365






Baidu
sogou